電話:13570151199
傳真:020-39972520
郵箱:hanyan@hanyancarbon.com
地址:廣東省廣州市番禺區東環街番禺大道北555號天安總部中心30號樓6層
三聚氰胺在活性炭上的吸附,活性炭的質地和表面會對吸附產生什么影響?
三聚氰胺被廣泛用于木質產品的生產中,其作用包括在飾面貼紙,涂料,粘合劑和阻燃劑中的用途。其更廣泛的應用還包括在混凝土,以及紙張和紡織材料上的增塑劑。主要使用比較頻繁并且三聚氰胺及其分解產物可能會污染水和土壤,所以需要在環境中去除它。本次我們將對三種具有三種不同表面積,孔徑分布和氧含量的活性炭來吸附三聚氰胺進行比較研究。專門致力于使用氣體吸附實驗,以全面了解三聚氰胺的吸附過程以及活性炭之間的差異。根據分子的大小和活性炭的表面積計算吸附物分子的理論。
三聚氰胺吸附測定方法
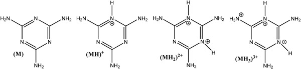
優化了活性炭的用量和三聚氰胺溶液濃度范圍的影響,以實現定量分析吸附前后,以及這些研究中使用的所有活性炭中三聚氰胺的最佳條件。最初的實驗涉及不同的吸附劑劑量,以及用于吸附物檢測和定量的多種方法。通過考慮三聚氰胺在水中的溶解度(酸性和堿性條件)以及吸附實驗前后溶液中的可測量水平來選擇三聚氰胺溶液的濃度范圍。由于三聚氰胺(M)是堿,因此它可以在水溶液中經歷幾次酸/堿平衡反應并形成不同的質子化物質(見圖1)。

圖1 :三聚氰胺使水溶液中的物質質子化。
活性炭對三聚氰胺的吸附
吸附環境在30°C的堿性(0.1 M NaOH)和酸性(0.1 M HCl)介質條件下,三種活性炭對三聚氰胺的吸附。顯然,在相似的平衡濃度下,堿性介質中三聚氰胺的吸附比酸性溶液中的吸附明顯更有利,并且它也強烈依賴于吸附劑材料的表面積。對三聚氰胺在水中高度定向的熱解石墨上的吸附表明,由于胺基團的存在,三聚氰胺通過與三聚氰胺分子之間的氫鍵與碳底物和其他三聚氰胺分子相互作用,可以形成組織良好的分子排列(氫供體)和中心環的N原子(氫受體)。三聚氰胺分子在形成六邊形多孔超分子網絡之前被單獨吸附或通過二聚體吸附。這些結果解釋了為什么在酸性和堿性介質中的吸附差異很大。在酸性介質中,質子化的三聚氰胺分子之間以及三聚氰胺與活性炭之間的相互作用可能不太有利,從而導致非常低的吸附值。

圖2:三聚氰胺在30°C下在三種活性炭的吸附等溫線,通過活性炭表面積標準化。
另一方面,在堿性介質中,中孔和大孔活性炭在低濃度下顯示出更高的三聚氰胺吸收。盡管這不能用來確定等溫線,但這可能表明在低濃度下活性炭的吸附效果較差,這可能是由于該材料的微孔結構所致。
在活性炭上吸附三聚氰胺的測試中發現。在堿性溶液中,活性炭吸附量顯著增加,這僅是由于未質子化的三聚氰胺可以更好地與活性炭相互作用,而且在相鄰的三聚氰胺分子之間形成HN=H氫鍵。也可能通過降低pH值從活性炭中釋放出吸附的三聚氰胺,從而根據需要釋放出吸附的物質。可以見得活性炭從溶液中去除三聚氰胺是可行的。如果您還有什么不太懂的地方可以直接咨詢我們,我們可以給您提供技術支持。
文章標簽:椰殼活性炭,果殼活性炭,煤質活性炭,木質活性炭,蜂窩活性炭,凈水活性炭.推薦資訊
- 2025-10-21活性炭從堿性甘氨酸溶液中吸附鉑
- 2025-10-10活性炭金屬改性對氫的吸附
- 2025-09-29活性炭吸附有機微污染物
- 2025-09-17活性炭去除對羥基苯甲醚
- 2025-09-09活性炭從水溶液中吸附苯酚
- 2025-08-27活性炭從水溶液中分離甲乙酮
- 2025-08-19活性炭對鈷離子的吸附與去除
- 2025-07-30活性炭用于強汞的去除
- 2025-07-23活性炭超聲輔助吸附黃金
- 2025-07-16活性炭載二氧化鈦協同去除二氯甲烷
- 2025-07-09活性炭從水中吸附脂多糖
- 2025-07-03活性炭凈化銅污染的生物柴油
