電話:13570151199
傳真:020-39972520
郵箱:hanyan@hanyancarbon.com
地址:廣東省廣州市番禺區東環街番禺大道北555號天安總部中心30號樓6層
活性炭吸附降低海水中硫酸根離子
沿海地區海水豐富,海鹽生產具有顯著優勢。然而,如果雜質處理得不好,會影響海鹽的質量。海鹽中常見雜質如CaSO4、MgCl2和MgSO4。這些雜質源自海水中存在的各種離子,包括氯化物、鈉、硫酸鹽、鎂、鈣和鉀。此外,鹽中存在的雜質會促進水分吸收,并降低其咸味,可能導致食鹽消耗量增加。本研究的目的是研究利用酸洗劑來提高椰殼活性炭的性能,以降低海水中硫酸根離子的含量。作為海鹽生產原料的海水含有較高含量的硫酸根離子雜質。從海水中去除硫酸根離子對于最大限度地減少海鹽結晶過程中的雜質至關重要。該研究使用了兩種類型的活性炭:未經進一步處理的活性炭和酸洗活性炭。
吸附海水中的硫酸根離子
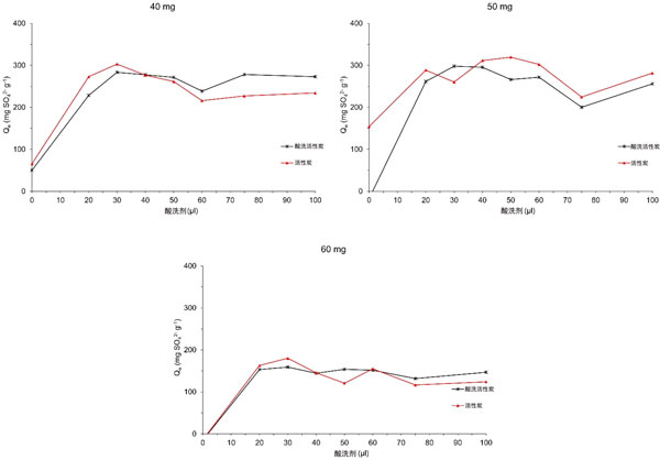
實驗中獲得的吸附結果在圖1描述。當不添加酸洗劑時,兩種活性炭在用量為40mg時都表現出相對較低的硫酸根離子吸附量。將活性炭用量增加至50mg導致活性炭的硫酸鹽吸附增加,而酸洗活性炭的硫酸鹽吸附減少。然而,當用量進一步增加至60mg時,兩種活性炭類型的硫酸根離子吸附均未觀察到顯著變化。海水中存在多種離子,為硫酸根離子在活性炭上的吸附創造了競爭環境。海水中鈉、氯、鎂等離子濃度較高促進了吸附位點的競爭,從而限制了硫酸根離子的吸附。此外,海水相對較高的pH值也可能影響吸附過程。眾所周知,在較高的pH值下,活性炭往往對陽離子而不是陰離子表現出更好的吸附作用。這些因素可能導致在沒有酸洗的情況下觀察到的吸附量相對較低。

圖1:添加酸洗劑的活性炭用量為40、50和60mg時的硫酸根離子吸附能力。
活性炭的物理特性
活性炭的物理性質、比表面積和孔徑決定了活性炭的吸附能力;钚蕴康男螒B受到碳材料活化方法的影響。本實驗中使用的碳是通過蒸汽法活化的。該方法形成孔并引入含氧官能團。酸洗活性炭具有經過酸洗處理的活性炭。該處理降低了灰分含量,降低了pH值,并改善了活性炭的親水表面。酸洗活性炭的pH值低于活性炭。因此,可以預測活性炭的堿度高于酸洗活性炭。活性炭的灰分含量高于酸洗活性炭。從圖2可以看出,酸洗后看起來比活性炭干凈,因為無機雜質減少了。盡管有跡象表明灰分含量會影響碳堿度,但尚不清楚灰分含量對吸附能力有何影響。

圖2:SEM顯微照片(A)酸洗活性炭(B)活性炭。
活性炭的基本功能
從水溶液(例如海水)中吸附離子依賴于吸附物(離子)和吸附劑(活性炭)之間的靜電相互作用。這種相互作用受到碳材料表面功能的影響。具體而言,在陰離子吸附(例如硫酸根離子)的情況下,堿性碳表面位點的存在起著至關重要的作用;钚蕴可系倪@些堿性位點與芳香碳環的共振π電子相關,該電子對質子具有親和力;钚蕴康幕颈砻婀倌軋F包括具有基本特征的含氧基團,例如色烯結構、二酮或醌基團以及類吡喃酮基團。此外,含氮官能團還可以增強活性炭的堿性。
酸洗對活性炭吸附硫酸根離子的作用
盡管酸洗活性炭的表面特征表明其在孔體積和官能團方面具有優越性,但未經進一步處理的活性炭的吸附容量高于酸洗活性炭。這一觀察結果可以通過將硬酸和軟酸和堿概念應用于活性炭來解釋,海水中發現的主要離子由硬酸和硬堿組成,它們與活性炭表面存在的官能團的相互作用可以使用這個概念來解釋。當海水與活性炭混合時,碳表面的官能團發生電離。位于碳基面邊緣或末端的基本官能團表現出高反應性并最初與硫酸根離子相互作用。然而,在正常pH條件下,酸洗活性炭和活性炭中硫酸根離子的吸附量都很小。這可能是由于硫酸根離子與共存陰離子(例如氯離子、磷酸根和硝酸根)之間競爭吸附在活性炭的官能團上。增加活性炭的用量會在溶液中引入更多的官能團,但盡管酸洗活性炭具有更多的堿性官能團,但與活性炭相比,酸洗活性炭的硫酸鹽吸附量較低。
研究的強度和局限性
實驗結果表明,未經額外處理的活性炭在硫酸根離子吸附方面優于酸洗活性炭。此外,由于需要額外的酸洗過程,酸洗活性炭的成本較高。然而,應該指出的是,活性炭中的吸附率隨著酸洗劑濃度的增加而實現。因此,在優化活性炭類型、用量和酸洗劑濃度的組合時,有必要考慮技術經濟方面,因為目前的研究并未考慮這一方面。盡管存在這種限制,但考慮到活性炭的承受能力,這種方法可以作為凈化海鹽的可行替代方案。
活性炭吸附降低海水中硫酸根離子的研究表明,添加酸洗劑可以增強椰殼活性炭對海水中硫酸根離子的吸附能力。在研究中使用的兩種活性炭中,與酸洗活性炭相比,未經處理的活性炭表現出更高的硫酸根離子去除能力。酸洗劑在增加溶液中水合氫離子的濃度方面發揮著至關重要的作用。硫酸根離子的吸附首先發生在堿性官能團處,隨后通過水合氫離子的存在而發生在碳基面上;钚蕴吭谔蓟嫔媳人嵯椿钚蕴繐碛懈嗟膲A性位點,這使得活性炭在吸引水合氫離子以結合海水中的硫酸根離子方面具有優異的性能。
文章標簽:椰殼活性炭,果殼活性炭,煤質活性炭,木質活性炭,蜂窩活性炭,凈水活性炭.推薦資訊
- 2025-10-21活性炭從堿性甘氨酸溶液中吸附鉑
- 2025-10-10活性炭金屬改性對氫的吸附
- 2025-09-29活性炭吸附有機微污染物
- 2025-09-17活性炭去除對羥基苯甲醚
- 2025-09-09活性炭從水溶液中吸附苯酚
- 2025-08-27活性炭從水溶液中分離甲乙酮
- 2025-08-19活性炭對鈷離子的吸附與去除
- 2025-07-30活性炭用于強汞的去除
- 2025-07-23活性炭超聲輔助吸附黃金
- 2025-07-16活性炭載二氧化鈦協同去除二氯甲烷
- 2025-07-09活性炭從水中吸附脂多糖
- 2025-07-03活性炭凈化銅污染的生物柴油
