電話:13570151199
傳真:020-39972520
郵箱:hanyan@hanyancarbon.com
地址:廣東省廣州市番禺區東環街番禺大道北555號天安總部中心30號樓6層
活性炭改性后儲存二氧化碳
全球變暖是由溫室氣體排放到大氣中引起的,例如二氧化碳,甲烷,氯氟化碳,臭氧和一氧化二氮等。由于使用化石燃料,二氧化碳的影響是導致全球變暖的主要原因,而化石燃料占全球能源需求的98%。因此,二氧化碳的排放量非常大。通過活性炭吸附和存儲的方法進行碳固存是降低大氣中的二氧化碳排放比較有用的方法之一。乙二胺和三亞乙基四胺改性的活性炭是可以對二氧化碳進行儲存的材料。
在氣體的吸附與儲存中,燃燒后吸附是最常用的策略。使用基于吸附的方法具有很高的效率和選擇性,并且非常可行,因此非常有前途。鏈烷醇胺的水性溶劑,例如單乙醇胺和二乙醇胺,通常用作催化燃燒的基于胺的溶劑。但是,基于水吸收的方法存在一些缺點,例如吸收容量低,穩定性差和再生成本高。這些問題可以通過使用具有高表面積和孔體積的多孔吸附劑來克服,例如活性炭材料,沸石和金屬有機骨架。
介孔材料具有較高的表面積,良好的熱/化學穩定性和易于功能化的表面,因此有可能被用作二氧化碳捕集材料。另一方面,中孔活性炭有潛力被用作二氧化碳存儲材料,因為它具有許多優點,包括表面積大,穩定性高和易于表面官能化。但是,物理吸附使中孔活性炭與溫度有關,并且選擇性低。由于這些原因,用作二氧化碳存儲材料的碳基材料的開發主要集中在通過表面改性提高二氧化碳的吸附能力上。將胺官能團引入活性炭表面可以克服這一問題,也有許多研究已經證明,當用氮官能團官能化活性炭時,活性炭的二氧化碳吸附能力會顯著提高。
用胺官能團改性活性炭
活性炭通過濕法浸漬法被胺官能團改性。在制備中,將所需量的乙二胺與介孔碳的重量比為50%wt和100%wt溶解在10mL乙醇中,然后將介孔炭或活性炭分散到溶液中,進一步攪拌6小時乙醇在室溫下蒸發過夜。類似的制備方法也適用于三亞乙基四胺改性的介孔炭和活性炭。
二氧化碳吸附測試
首先使用具有兩個胺官能團的乙二胺研究了胺官能化活性炭中胺官能團對其二氧化碳吸附能力的影響。圖1顯示了負載有乙二胺活性炭的二氧化碳吸附能力。通常,較高濃度的乙二胺可提供更多的胺官能團,使其易于與二氧化碳反應,這對于二氧化碳吸附是有利的。

圖1:活性炭和(a)活性炭載乙二胺對二氧化碳的吸附能力,(b)活性炭載乙二胺和三亞乙基四胺的對比。
吸附原理介紹
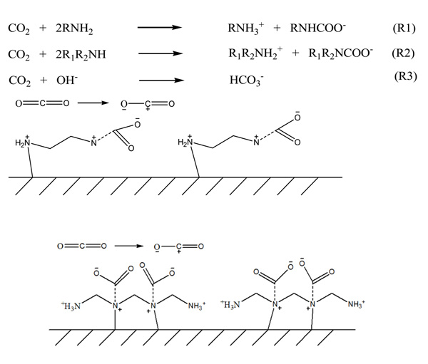
活性炭表面上存在的官能團(即胺和羥基)在二氧化碳吸附反應中起重要作用。在三亞乙基四胺中,乙二胺的伯胺(RNH2)與二氧化碳反應形成氨基甲酸酯離子,如反應(R1)和圖2所示。在MCTETA中,伯胺和仲胺(分別為RNH2和R2NH)與如反應(R2)所示,如圖2下部分所示。另一方面,活性炭中的羥基官能團可通過反應(R3)與CO2反應形成碳酸氫根離子。這解釋了為什么在改性之前,介孔炭和活性炭都已經具有二氧化碳的吸附能力。

圖2:胺官能化活性炭表面上的乙二胺和三亞乙基四胺與二氧化碳之間的擬議反應機理。
活性炭改性后儲存二氧化碳,用胺官能團乙二胺和三亞乙基四胺對碳材料(介孔炭和活性炭)進行了改性。載乙二胺的活性炭在15分鐘的流動時間內顯示出最佳的二氧化碳吸附能力,但在更長的時間內,載三亞乙基四胺的活性炭表現出對二氧化碳吸附的穩定增加。研究表明,低三亞乙基四胺負載量的活性炭改性可以減少孔堵塞和擴散障礙。因此,它的四個胺官能團有利于二氧化碳的吸附能力。結果還表明,選擇三亞乙基四胺時,濃度30表現出較高的二氧化碳吸附容量。高濃度的胺化合物會阻塞活性炭的孔,這可能會阻礙二氧化碳與胺官能團之間的相互作用。
文章標簽:椰殼活性炭,果殼活性炭,煤質活性炭,木質活性炭,蜂窩活性炭,凈水活性炭.推薦資訊
- 2025-10-21活性炭從堿性甘氨酸溶液中吸附鉑
- 2025-10-10活性炭金屬改性對氫的吸附
- 2025-09-29活性炭吸附有機微污染物
- 2025-09-17活性炭去除對羥基苯甲醚
- 2025-09-09活性炭從水溶液中吸附苯酚
- 2025-08-27活性炭從水溶液中分離甲乙酮
- 2025-08-19活性炭對鈷離子的吸附與去除
- 2025-07-30活性炭用于強汞的去除
- 2025-07-23活性炭超聲輔助吸附黃金
- 2025-07-16活性炭載二氧化鈦協同去除二氯甲烷
- 2025-07-09活性炭從水中吸附脂多糖
- 2025-07-03活性炭凈化銅污染的生物柴油
